8 класс. тема:дробные рациональные уравнения.
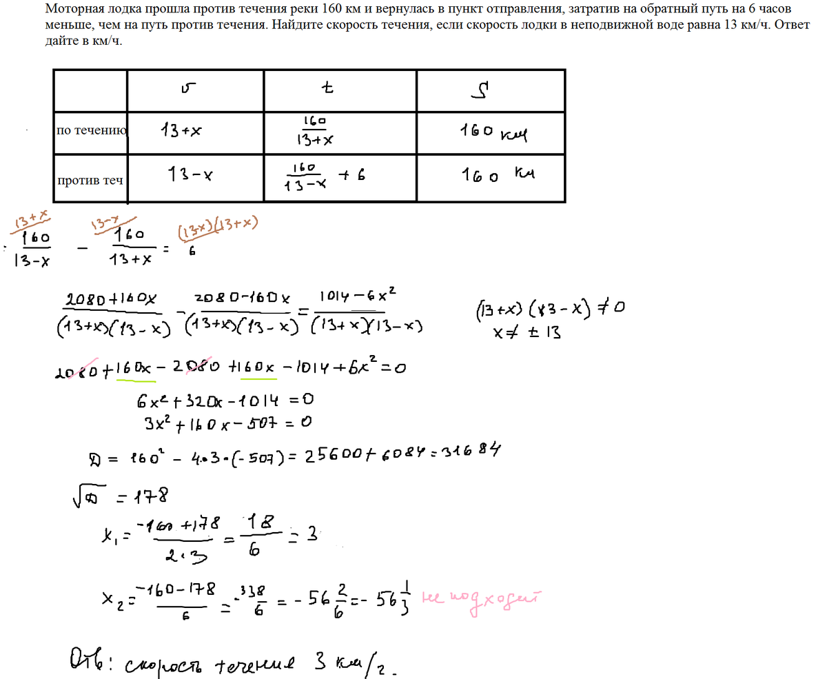
Моторная лодка прошла против течения реки 160 км
и вернулась в пункт отправления, затратив на обратный путь на 6 часов меньше, чем на путь против течения. Найдите скорость течения, если скорость лодки в неподвижной воде равна 13 км/ч. Ответ дайте в км/ч.
Ответы
Ответ дал:
0
У вас слишком большая скорость течения, и с 13 км/ч ответ получается корявый, а вот со скоростью течения 3 км/ч - очень симпатичный ))))
Приложения:

Ответ дал:
0
Если понравилось решение - нажимай "спасибо" и "лучший" (рядом с кнопкой "спасибо") :)
Приложения:

Вас заинтересует
2 года назад
8 лет назад
10 лет назад
10 лет назад