• Предмет: Геометрия
  • Автор: bahitzanhasanzanov
  • Вопрос задан 7 лет назад

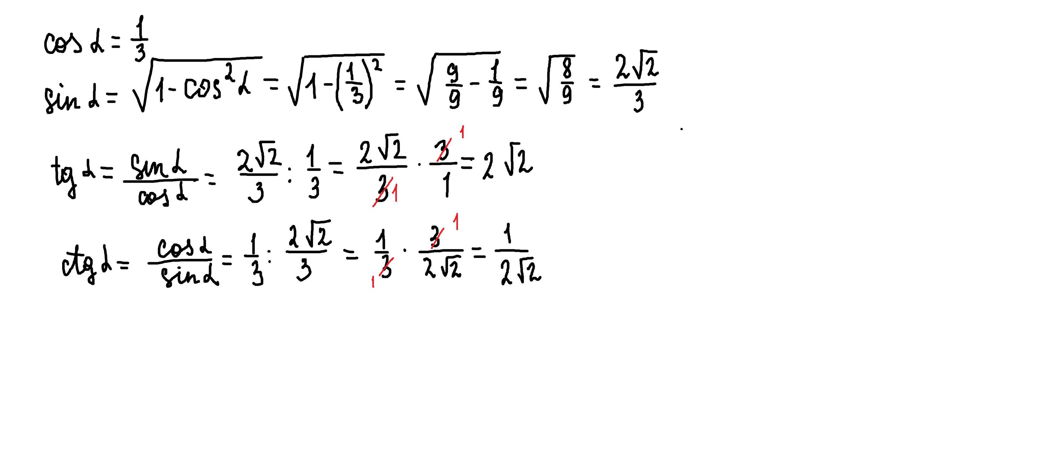
Если cos = 1/3, определите sin, ctg для острого угла. Помагите пожалуста даю 100 балл срочно


parus77: в какой четверти это угол,от этого зависит знак.

Ответы

Ответ дал: parus77
2

Ответ:

Объяснение:

решение внизу

Приложения:

bahitzanhasanzanov: Спасибо я случайно нажал на 1 звездучку простите ОГРОМНОЕ СПАСИБО
Вас заинтересует