• Предмет: Математика
  • Автор: dzhanzakovaisha
  • Вопрос задан 7 лет назад

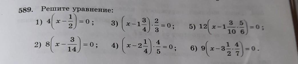
Можете помочь пожалуйста,математика 5 класс,это сложно для меня​

Приложения:

Ответы

Ответ дал: erikkyzymerei
0

Вот она.. Я думала ето прав

Приложения:
Ответ дал: ailin3229
0
/-это дробь
1)х-1/2=0
х=1/2
2)х-3/14=0
х=3/14
3)х-1•3/4=0
х=1•3/4
4)х-2•1/4=0
х=2•1/4
5)х-1•3/10•5/6=0
х=13/12
6)х-3•1/2•4/7=0
х=2


Надеюсь помогла

ailin3229: Кст
•-можно считать что это как “целых”
Вас заинтересует