• Предмет: Математика
  • Автор: fazof2005
  • Вопрос задан 7 лет назад

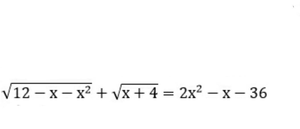
Решите уравнения (ответ с решением)

Приложения:

Ответы

Ответ дал: kasyaka2006
0

12-x-x²+x+4=4x⁴+x²+1296

4x⁴+2x²=1280

2x⁴+x²-640=0

Ответ дал: potessiaaissenop
0

Ответ:0

− 2 x 2+ x + √ ( − x+ 3 ) ( x + 4 ) + √x + 4 + 36 = 0

Вас заинтересует