• Предмет: Математика
  • Автор: milanazolotareva33
  • Вопрос задан 7 лет назад

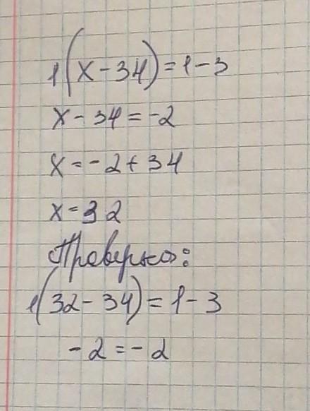
1 (x - 34) = 1 – 3 3.Решите уравнение:​

Ответы

Ответ дал: Аноним
0

Ответ:

На фото

Пошаговое объяснение:

На фото

.............

...

Приложения:
Вас заинтересует