• Предмет: Алгебра
  • Автор: Kir1906
  • Вопрос задан 10 лет назад

Решите уравнения:
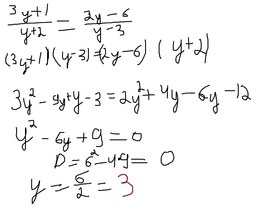
1)3y+1/y+2=2y-6/y-3
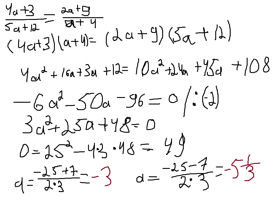
2)4a+3/5a+12=2a+9/a+4
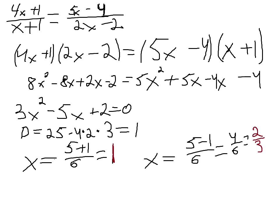
3)4x+1/x+1=5x-4/2x-2

Ответы

Ответ дал: akaynt
0
......................
Приложения:
Ответ дал: akaynt
0
как же не удобно
Вас заинтересует