• Предмет: Алгебра
  • Автор: pshevskaya
  • Вопрос задан 7 лет назад

СРОЧНО БЛИН!!
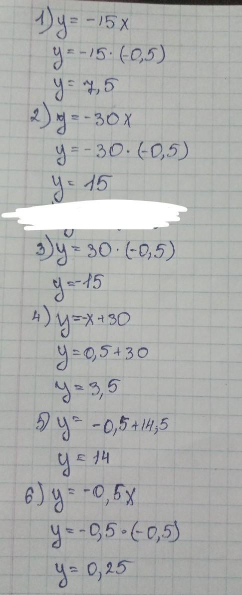
Точка K(−0,5;15) принадлежит графику прямой пропорциональности. Задайте данную функцию формулой.
y=−15x
y=−30x
y=30x
y=−x+30
y=x+14,5
y=−0,5x​

Ответы

Ответ дал: anastyastarr16
1

Ответ:вот такой должен быть

Приложения:
Вас заинтересует