• Предмет: Алгебра
  • Автор: tegaevalan55
  • Вопрос задан 7 лет назад

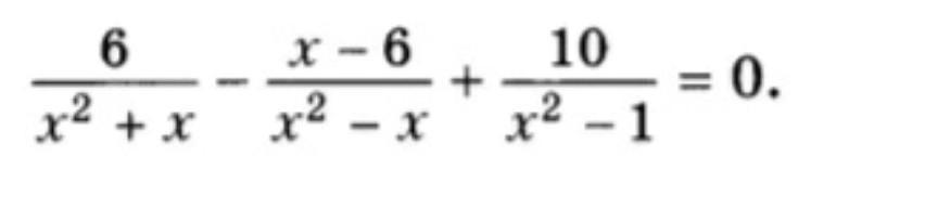
помогите пожалуйста!!!!! желательно в тетради и понятно​

Приложения:

Ответы

Ответ дал: Slicha
2

Ответ:

Объяснение:

На фото

Приложения:
Ответ дал: mindiyo
0

Достаточно понятно? :)

Приложения:
Вас заинтересует