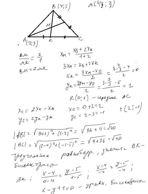
В треугольнике ABC даны вершины A(-2,3) и B(4,5) и точка пересечения медиан M(4/3,7/3). Составить уравнение биссектрисы BD
Приложения:

Ответы
Ответ дал:
1
Ответ:
Пошаговое объяснение:
Приложения:

Вас заинтересует
2 года назад
2 года назад
2 года назад
8 лет назад
8 лет назад
9 лет назад