• Предмет: Математика
  • Автор: andreypivovar2003
  • Вопрос задан 7 лет назад

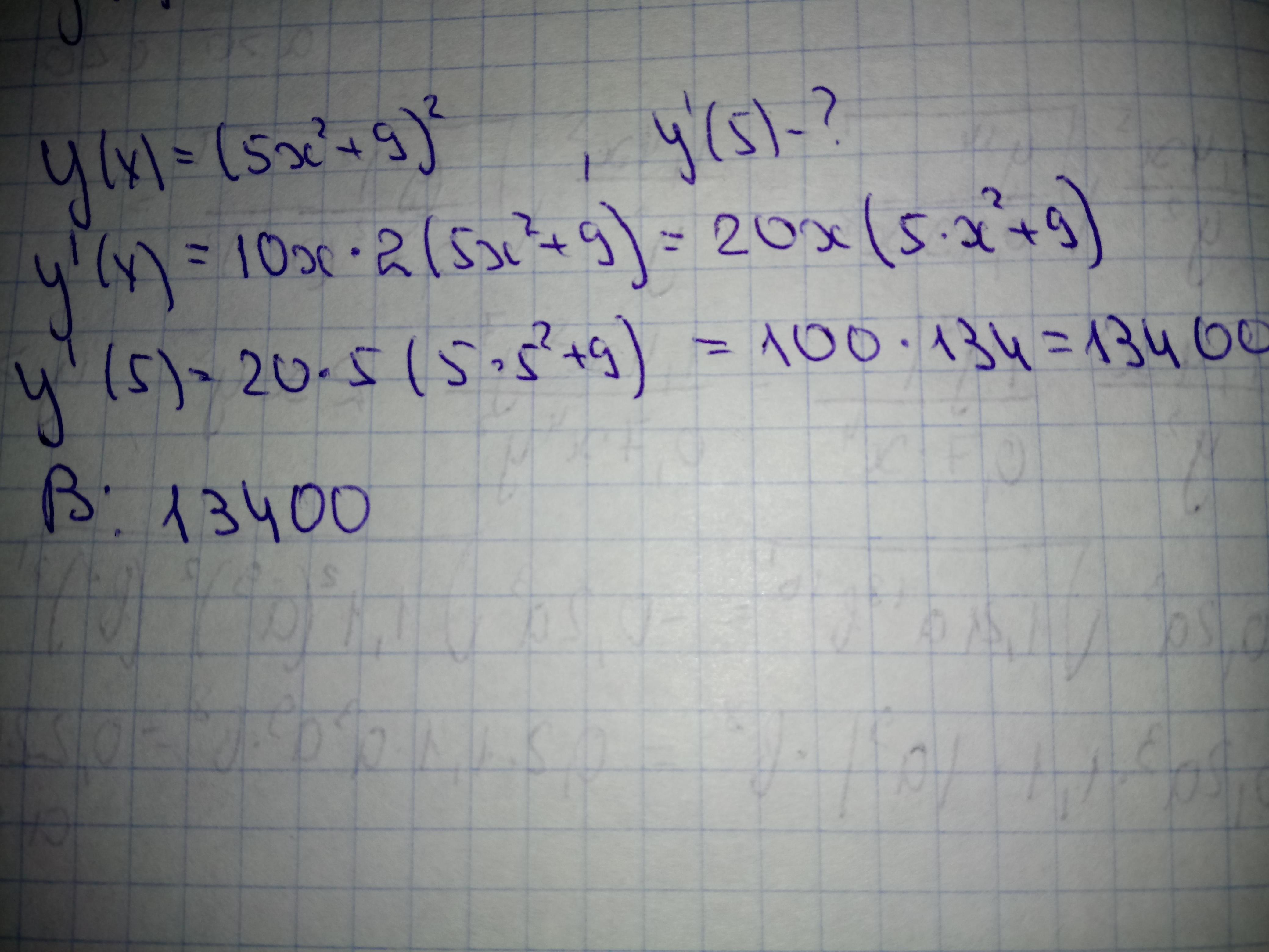
Дано функцію:
y(x)=(5x2+9)2
Обчислити похідну:
y′(5)=?

Ответы

Ответ дал: Аноним
1

Відповідь: 13400

Покрокове пояснення: фото

Приложения:
Ответ дал: genius20
1

y'(x)=2(5x^2+9) \cdot (5x^2+9)'=2(5x^2+9) \cdot 10 x=\\=20x \cdot (5x^2+9)\\y'(5)=20 \cdot 5  \cdot (5 \cdot 5^2+9)=100 \cdot 134=13400.

Вас заинтересует