• Предмет: Алгебра
  • Автор: utochek666
  • Вопрос задан 7 лет назад

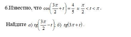
Известно, что cos(3/2+t)=4/5 и П/2

Приложения:

Ответы

Ответ дал: Аноним
1

cos(3π/2+t)=sint=4/5=0.8, π/2<t<π- вторая четверть, косинус там отрицателен. cost=-√(1-sin²t)=-√(1-(16/25))=-3/5=-0.6

воспользовался основным тригонометрическим тождеством

а) tg(3π/2-t)=ctgt=cost/sint=-0.6/0.8=-3/4=-0.75

воспользовался формулой приведения tg(3π/2-t)=ctgt

б) tg(3π+t)=tg(2π+π+t)=tg(π+t)=tgt=1/ctgt=(-4/3)=-1 1/3

воспользовался формулой приведения tg(π+t)=tgt

Вас заинтересует