Ответы
Ответ дал:
1
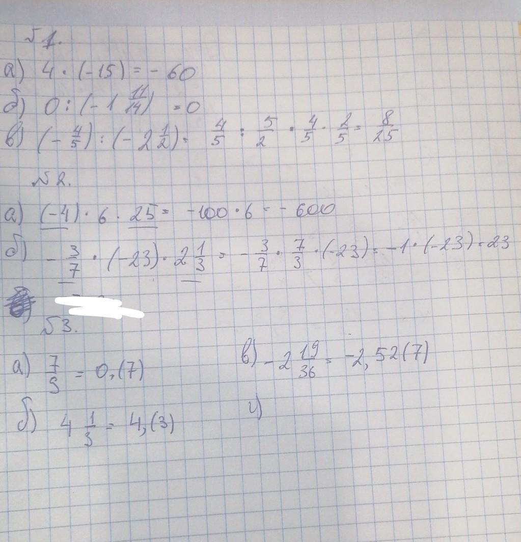
1) а) -60; б)0; в) (-4/5)*(2/5)=8/25
2. а)-4*25*6=-600
б) (-3/7)*(7/3)*(-23)=23
3.а) 7/9=0.(7);
b) 4 1/3=4 (3); c) -2 18/36= -2.52(7); d) 47=47(0)
4. если уравнения содержат данные ответы, то х+6=0⇒х=-6; х-16.9=0⇒х=16.9; х+8.9=0⇒х=-8.9
Если уравнения содержат данные числа. то составим такие уравнения х-6=0; 2х+16.9=0; 3х-8.9=23
aleksandrabektasogly:
спасибо!!!!!!!❤️❤️❤️❤️❤️❤️ Просто у меня завтра по матем Сор,я заболела,и вот,мне одноклассники скинули,спасибо большое за решение!!!!!!!!!!!!
Ответ дал:
1
Ответ:
в чем смысл 4го задания?
Приложения:

Вас заинтересует
2 года назад
2 года назад
2 года назад
2 года назад
8 лет назад
9 лет назад
9 лет назад