• Предмет: Алгебра
  • Автор: FarFarFarFar3
  • Вопрос задан 7 лет назад

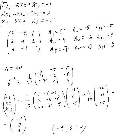
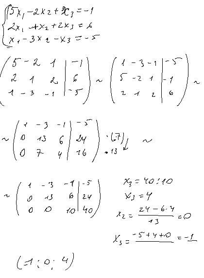
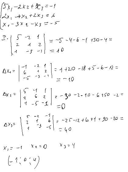
Решить методом крамера, методом обратной матрицы, методом гаусса
5x-2x+x=-1
2x+x+2x=6
x-3x-x=-5

Ответы

Ответ дал: dashulka22222
2

Ответ:

(-1,0,4)

Объяснение:

Приложения:
Ответ дал: elenamuraweva
1

Ответ:

Подробное решение во вложении

Приложения:
Вас заинтересует