• Предмет: Математика
  • Автор: malikaesenali09
  • Вопрос задан 7 лет назад

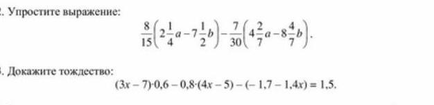
решите пожалуйстаааа​

Приложения:

Ответы

Ответ дал: Mnick
1

Ответ:

на фото!!!!!!!!!!!!!!!

Приложения:
Вас заинтересует