• Предмет: Алгебра
  • Автор: zaycevdark
  • Вопрос задан 7 лет назад

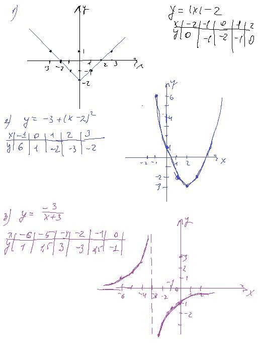
Побудувати графік функцій за допомогою таблиць.5-вариант, 2-3 задания, дайте ответ хотя-бы на одну функцию.​

Приложения:

Ответы

Ответ дал: dashulka22222
1

Ответ:

Объяснение:

скласти таблиці

Приложения:
Вас заинтересует