• Предмет: Геометрия
  • Автор: elizavetagarder75
  • Вопрос задан 7 лет назад

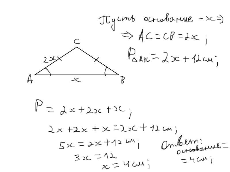
Боковая сторона равнобедренного треугольника в два раза больше основания и на 12 см меньше периметра треугольника найдите основание треугольника

Ответы

Ответ дал: ep81857
0

Ответ:

4 см

Объяснение:

Приложения:
Вас заинтересует