• Предмет: Математика
  • Автор: LazyEvil
  • Вопрос задан 7 лет назад

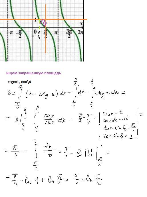
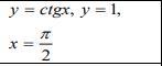
Вычислить площадь фигуры, ограниченной данными линиями.
y=ctgx, y=1, x=π/2
Помогите, пожалуйста, решить, а то я не совсем понимаю это)

Приложения:

Ответы

Ответ дал: dashulka22222
0

Ответ:

Пошаговое объяснение:

Нужно построить график функции котангенса и прямой у=1

Приложения:

LazyEvil: если это пример задачи, чтоб я могла понять по нему, то можно было прикрепить и вводные данные) откуда pi/2 появилось? в Вашей задаче используется ведь pi/2
LazyEvil: pi/4
LazyEvil: и почему ctgx=1?
Вас заинтересует