• Предмет: Математика
  • Автор: 097071
  • Вопрос задан 7 лет назад

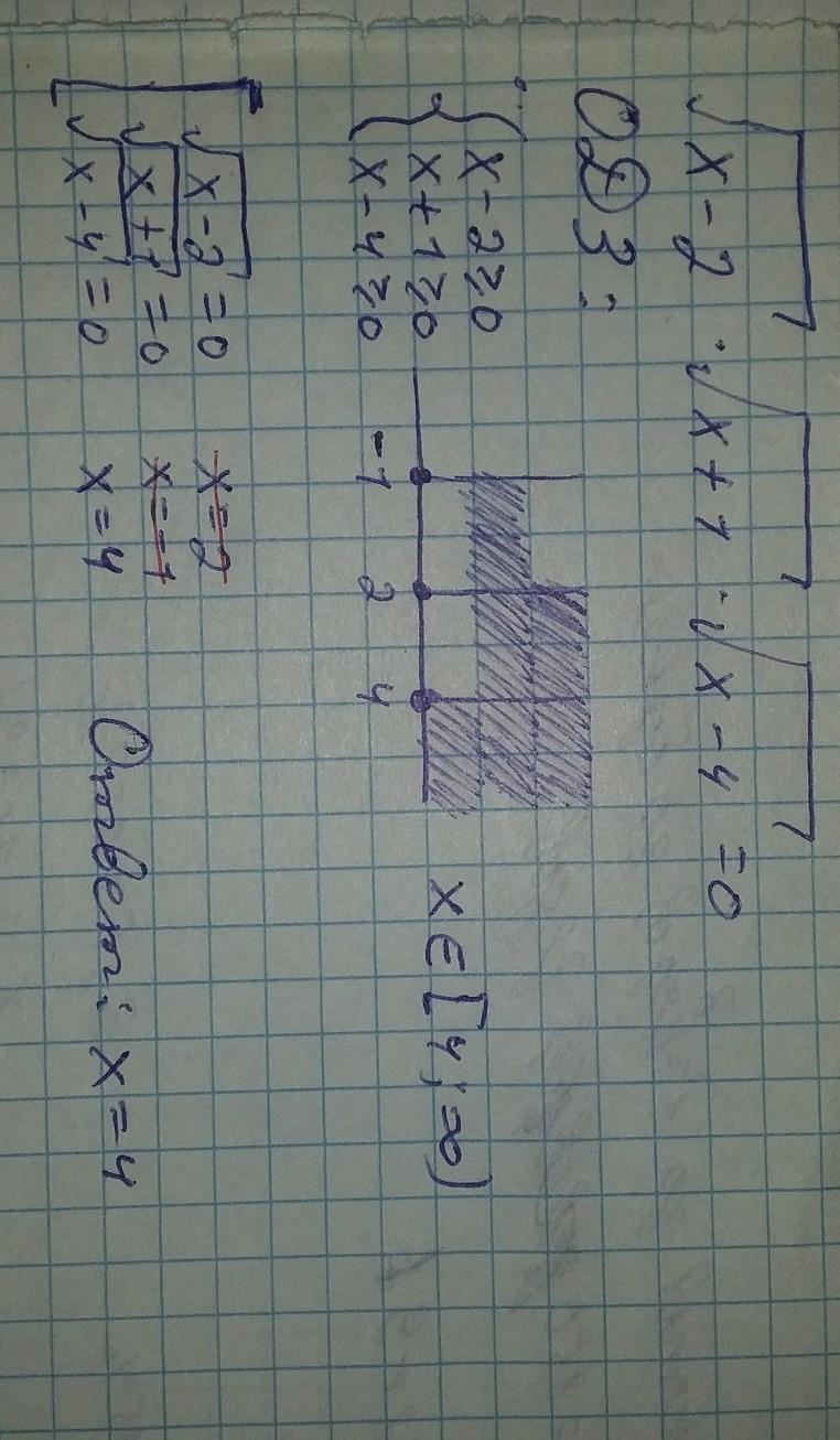
сколько коренив мае ривняня √x-2√x+1√x-4=0​

Ответы

Ответ дал: abdullayevallayar141
1

Ответ:

Решение на фото.ᅠᅠᅠᅠᅠᅠᅠᅠᅠᅠᅠᅠᅠᅠᅠᅠᅠ

Приложения:

097071: ответь на второй вопрос пожалуйста
Вас заинтересует