ПОМОГИТЕ ПОЖАЛУЙСТА
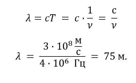
Радиостанция работает на частоте 4 МГц. Чему равна длина волны, излучаемой антенной радиостанции?
Ответы
Ответ дал:
0
Ответ: λ = 75 м
Объяснение: Решение задачи во вложении
Приложения:
Вас заинтересует
2 года назад
2 года назад
3 года назад
3 года назад
9 лет назад
10 лет назад
10 лет назад