• Предмет: Химия
  • Автор: LOLABUNNY777
  • Вопрос задан 7 лет назад

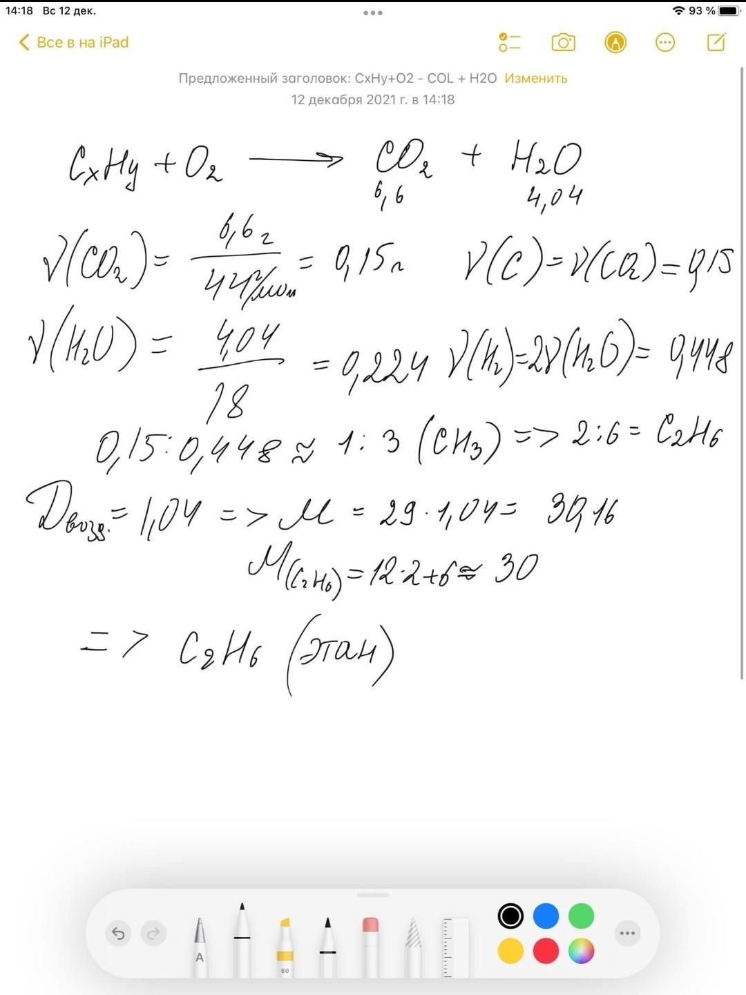
при сжигании газообразного углеводорода образовалось 6,6 оксида углерода |V и 4,04 г воды. Плотность углеводорода по воздуху равна 1,04. Определите формулу углеводорода.
Оч срочно


kinoly: 6,6 грамм или литров?

Ответы

Ответ дал: kinoly
2

Ответ:

C2H6

Объяснение:

на картинке всё решение

Приложения:

LOLABUNNY777: а почему 2:6?
kinoly: ch3 не подходит по формуле, плюс молярная масса другая
kinoly: по воздуху 30 а тут 15 получается
LOLABUNNY777: ок
Вас заинтересует