• Предмет: Алгебра
  • Автор: dawkakarpova04
  • Вопрос задан 7 лет назад

скажите пожалуйста
спасибо заранее​

Приложения:

Ответы

Ответ дал: PokVei
1

Ответ:

x_{1} =0, x_{2}=\frac{25}{4}

Объяснение:

4x^{2} -25x=0;\\x(4x-25)=0\\x_{1} =0, x_{2}=\frac{25}{4}

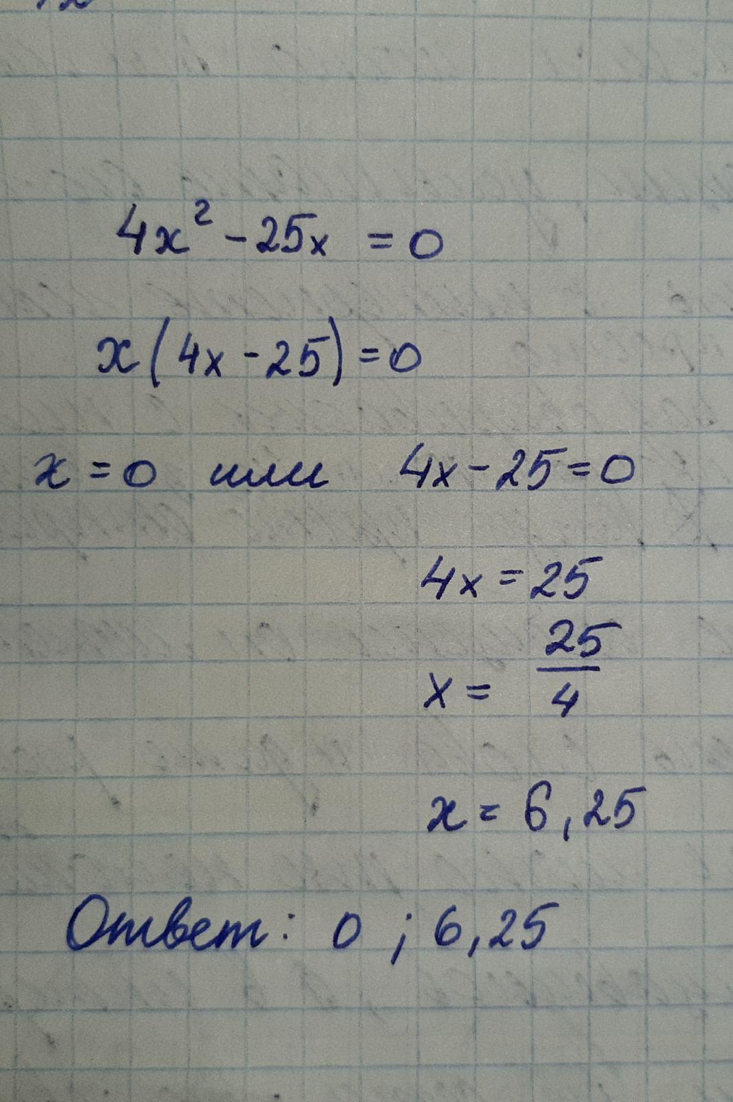
Ответ дал: CuteFox1
0

Ответ: 0; 6,25

Объяснение:

Приложения:
Вас заинтересует