Ответы
Ответ дал:
1
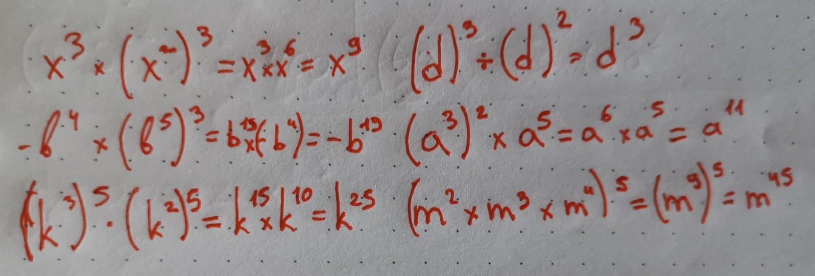
вот вот вот вот всё сделала
Приложения:




Вас заинтересует
2 года назад
2 года назад
2 года назад
8 лет назад
9 лет назад
9 лет назад