• Предмет: Алгебра
  • Автор: elkaham93
  • Вопрос задан 7 лет назад

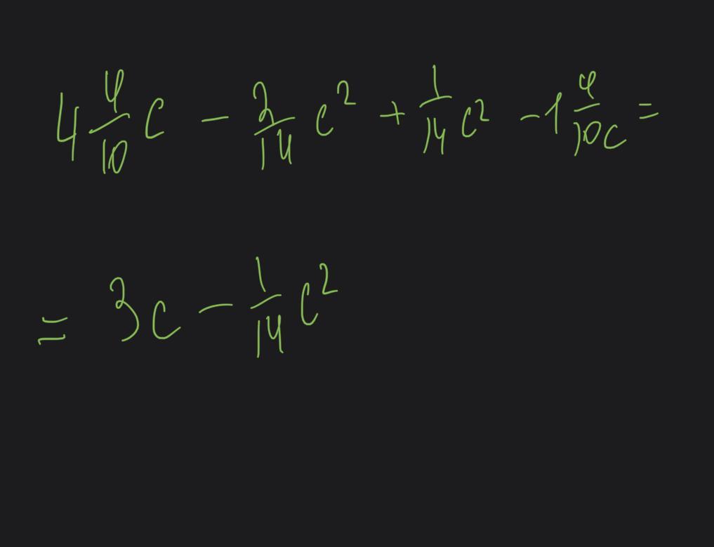
Пж помогите с примером :Упрости алгебраическую сумму многочленов: (4 4/10c−2/14c2)+(1/14c2−1 4/10c). Пжжжжж​

Ответы

Ответ дал: vladaksenov12
0

Ответ:в фото

Объяснение:

Приложения:
Вас заинтересует