• Предмет: Алгебра
  • Автор: shirablue11
  • Вопрос задан 7 лет назад

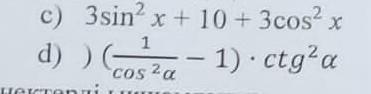
упростите выражение:​

Приложения:

Ответы

Ответ дал: zanelabekbolatkyzy27
0

Ответ:

қай класс? просто таныс болып тур


shirablue11: 8мой
shirablue11: 8знші
zanelabekbolatkyzy27: қай жаттығу қай бет
zanelabekbolatkyzy27: алгебра ма?
shirablue11: бұл сумативка
shirablue11: геометрия прост шатасып кеттпін
zanelabekbolatkyzy27: кітапқа жоқ тапсырмалар ма?
shirablue11: да вроде
shirablue11: мен қалғам сабақтан
shirablue11: стдан жазып отырмн
Вас заинтересует