• Предмет: Математика
  • Автор: zavrdina43
  • Вопрос задан 7 лет назад

ПОМОГИТЕ ПОЖАЛУЙСТА ПОМОГИТЕ ПОЖАЛУЙСТА ПОМОГИТЕ ПОЖАЛУЙСТА ПОМОГИТЕ ПОЖАЛУЙСТА ПОМОГИТЕ ПОЖАЛУЙСТА ПОМОГИТЕ ПОЖАЛУЙСТА ПОМОГИТЕ ПОЖАЛУЙСТА ПОМОГИТЕ ПОЖАЛУЙСТА ПОМОГИТЕ ПОЖАЛУЙСТА ПОМОГИТЕ ПОЖАЛУЙСТА ПОМОГИТЕ ПОЖАЛУЙСТА ПОМОГИТЕ ПОЖАЛУЙСТА ПОМОГИТЕ ПОЖАЛУЙСТА ПОМОГИТЕ ПОЖАЛУЙСТА ПОМОГИТЕ ПОЖАЛУЙСТА ПОМОГИТЕ ПОЖАЛУЙСТА ПОМОГИТЕ ПОЖАЛУЙСТА ПОМОГИТЕ ПОЖАЛУЙСТА ПОМОГИТЕ ПОЖАЛУЙСТА ПОМОГИТЕ ПОЖАЛУЙСТА ПОМОГИТЕ ПОЖАЛУЙСТА ПОМОГИТЕ ПОЖАЛУЙСТА ПОМОГИТЕ ПОЖАЛУЙСТА ПОМОГИТЕ ПОЖАЛУЙСТА ПОМОГИТЕ ПОЖАЛУЙСТА ПОМОГИТЕ ПОЖАЛУЙСТА ПОМОГИТЕ ПОЖАЛУЙСТА ПОМОГИТЕ ПОЖАЛУЙСТА с решением ​

Приложения:

Ответы

Ответ дал: dashulka22222
1

Ответ:

Пошаговое объяснение:

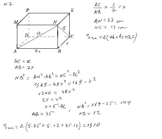
№7

Приложения:

zavrdina43: хорошо
zavrdina43: спасибо большое
dashulka22222: получилось
dashulka22222: у 8 какой ответ?
zavrdina43: утром скажу
zavrdina43: можешь еще задания посмотреть
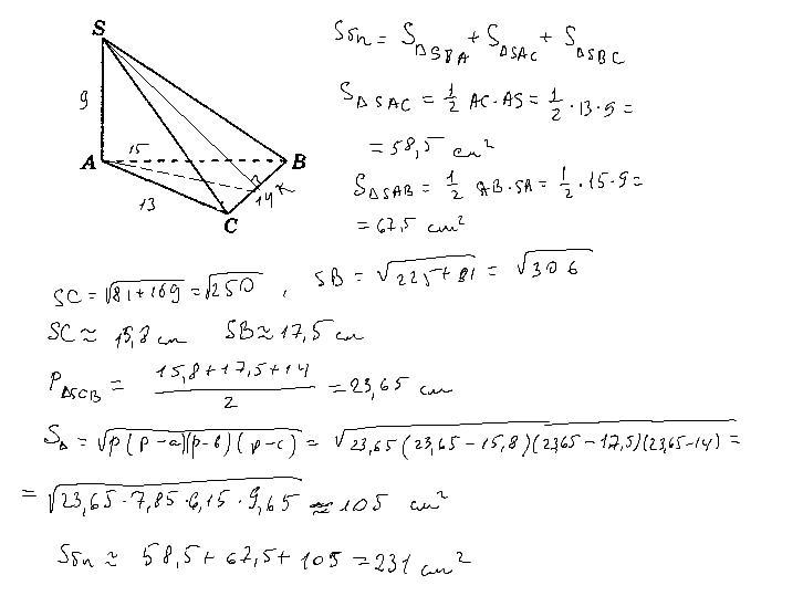
zavrdina43: в 8 ответ 231
zavrdina43: можешь пожалуйста посмотреть езе задание. там ест ещё задания от 1-5
zavrdina43: мне главное хоть с 1-8 сделать
zavrdina43: а как тебя зовут?
Вас заинтересует