• Предмет: Алгебра
  • Автор: dianailyashchuk
  • Вопрос задан 7 лет назад

Алгебра 10 клас пж помогите 1 пример

Приложения:

Ответы

Ответ дал: koko896
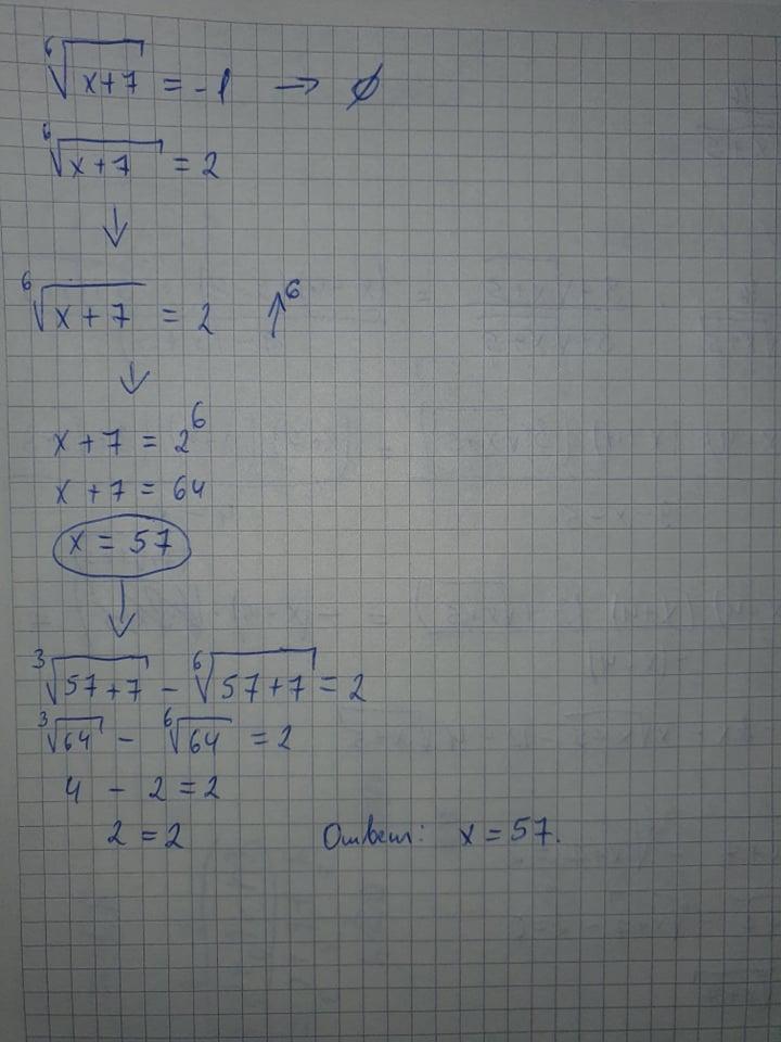
1

Ответ:

x=57

Объяснение:

Приложения:

dianailyashchuk: Блин я давно решила сама. Я не заметила ответ :(
dianailyashchuk: Но спасибо большое
Вас заинтересует