• Предмет: Алгебра
  • Автор: petrzuw008
  • Вопрос задан 7 лет назад

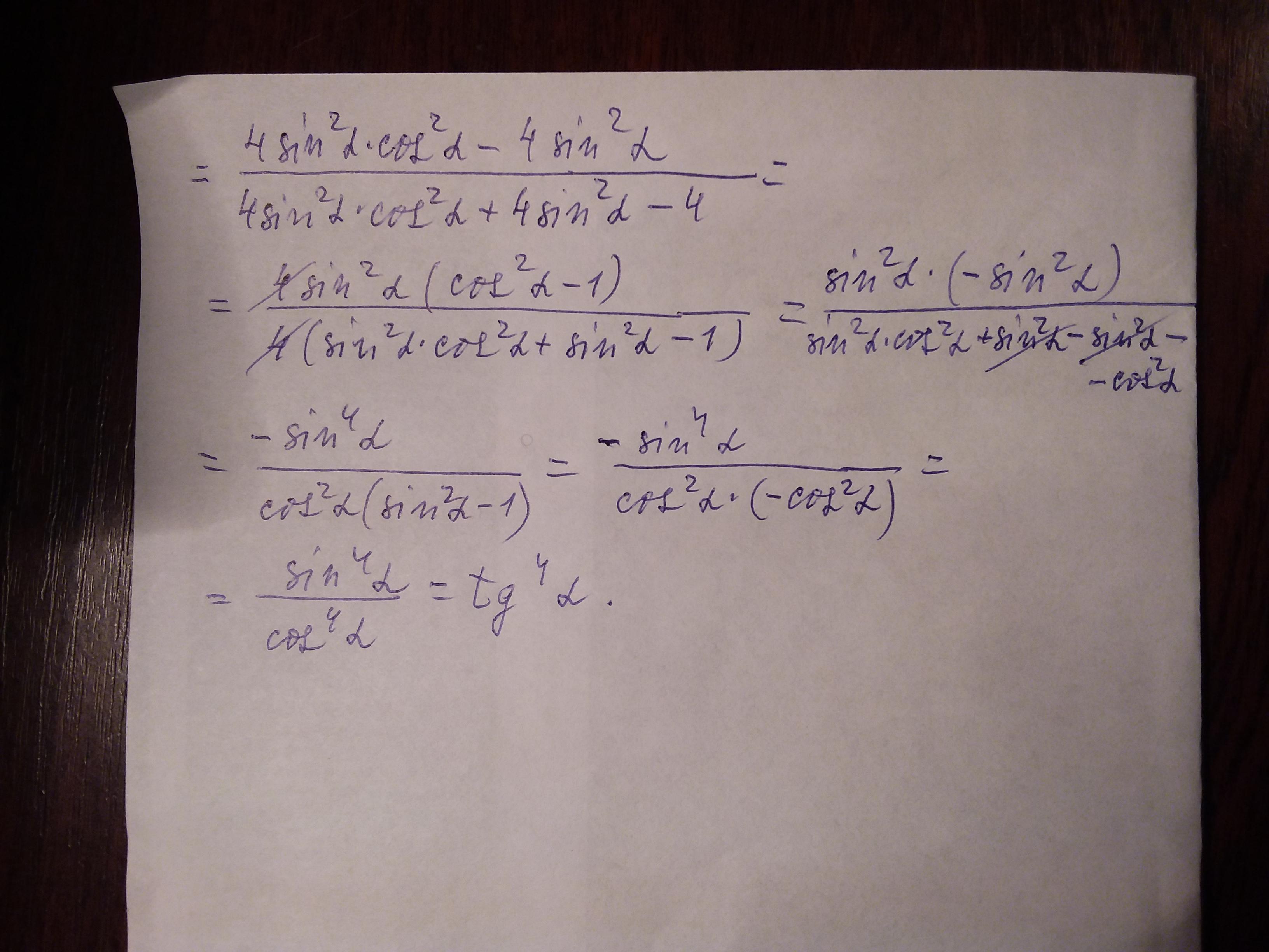
Помогите решить, желательно с полным объяснением

Приложения:

petrzuw008: СПАСИБО ОГРОМНОЕЕ

Ответы

Ответ дал: lidiasaraa3
1

Ответ:

Объяснение:...........

Приложения:
Вас заинтересует