• Предмет: Алгебра
  • Автор: kekcheburek2020
  • Вопрос задан 7 лет назад

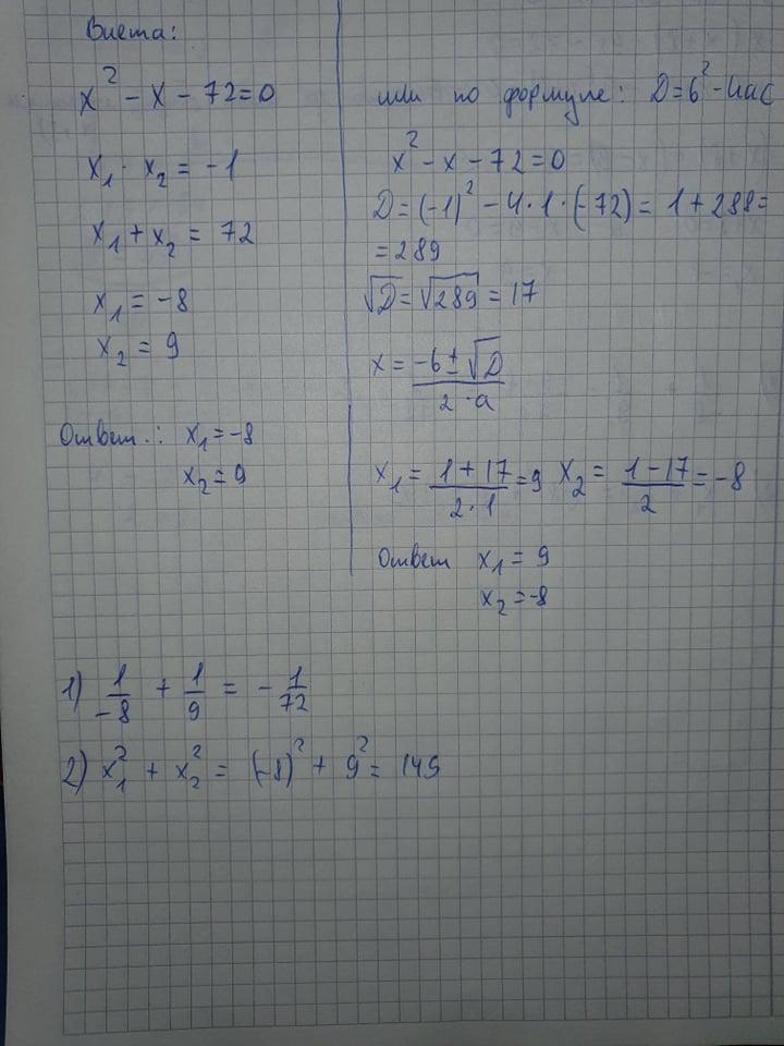
x²-x-72=0 имеет два корня
1)
 \frac{1}{x1}  +  \frac{1}{x2}
2)x²+x²​

Приложения:

Ответы

Ответ дал: koko896
1

Ответ:

x1=-8

x2=9

Объяснение:

Приложения:
Ответ дал: lidiasaraa3
2

Ответ:

Объяснение:...........

Приложения:
Вас заинтересует