• Предмет: Алгебра
  • Автор: mta5572021
  • Вопрос задан 7 лет назад

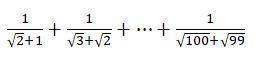
ПОЖАЛУЙСТА ВЫЧИСЛИТЕ СРОЧНО

Приложения:

Ответы

Ответ дал: bb573878
0

Ответ:

9

Объяснение:

\displaystyle\\\frac{1}{\sqrt{2}+1 }\cdot\frac{\sqrt{2}-1}{\sqrt{2}-1} =\frac{\sqrt{2}-1}{2-1} = \sqrt{2}-1\\\\\\\frac{1}{\sqrt{3}+\sqrt{2}  }\cdot\frac{\sqrt{3}-\sqrt{2} }{\sqrt{3}-\sqrt{2} } =\frac{\sqrt{3}-\sqrt{2} }{3-2} = \sqrt{3}-\sqrt{2} \\\\...\\\\\frac{1}{\sqrt{100}+\sqrt{99}  }\cdot\frac{\sqrt{100}-\sqrt{99} }{\sqrt{100}-\sqrt{99} } =\frac{\sqrt{100}-\sqrt{99} }{100-99} = \sqrt{100}-\sqrt{99}\\\\\\

тогда

\displaystyle\\\frac{1}{\sqrt{2}+1 } +\frac{1}{\sqrt{2}+\sqrt{3}  }+...+\frac{1}{\sqrt{100} +\sqrt{99} } =\\\\\\=\sqrt{2} -1+\sqrt{3} -\sqrt{2} +...+\sqrt{100} -\sqrt{99} =\\\\\\=-1+\sqrt{100} =-1+10=9

Вас заинтересует