Ответы
Ответ дал:
0
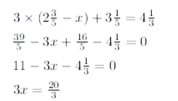
x=2 целых 2/9
Ответ: 2 2/9
Приложения:

Вас заинтересует
2 года назад
2 года назад
2 года назад
2 года назад
8 лет назад
9 лет назад