• Предмет: Алгебра
  • Автор: vagapovilnar5
  • Вопрос задан 7 лет назад

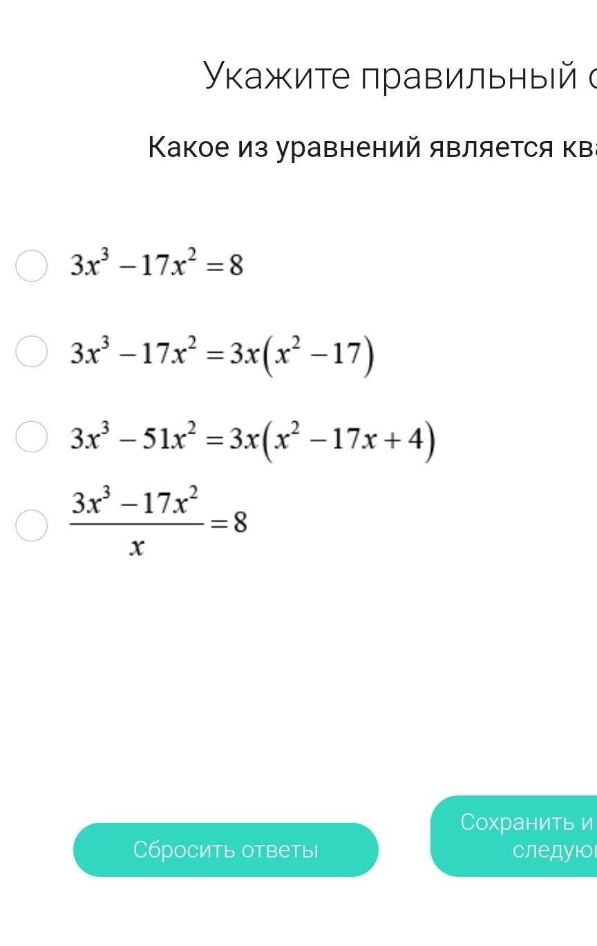
какое из yравнений является квадратным?​

Приложения:

Ответы

Ответ дал: MagdaSinger
1

Ответ:

Ответ на фото

Объяснение:

Приложения:
Вас заинтересует