ПОМОГИТЕ ПЖ ДАЮ 40 БАЛЛОВ 4. Высота СК прямоугольного треугольника АВС, проведенная к гипотенузе, делит ее на отрезки длиной 4 см и 36 см. Найдите катеты и периметр треугольника.4. Высота СК прямоугольного треугольника АВС, проведенная к гипотенузе, делит ее на отрезки длиной 4 см и 36 см. Найдите катеты и периметр треугольника.
Ответы
Ответ дал:
8
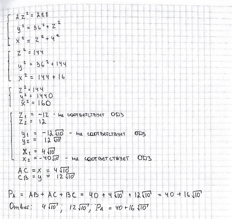
•Примем сторону АС за «х», СВ за «у», СК за «z».
•Рассмотрим треугольник ВКС:
Выразим гипотенузу ВС через катеты ВК и КС: у^2 = 36^2 + z^2
•Рассмотрим треугольник СКА:
Выразим гипотенузу СА через катеты СК и КА: z^2 + 4^2= x^2
•Рассмотрим треугольник АВС, найдём гипотенузу: АВ= 36+4 = 40. Выразим через катеты: х^2 + у^2 = 40^2
• Составим систему уравнений:
х^2 + у^2 = 40^2
y^2= 36^2+ z^2
x^2= z^2+4^2
•решаем:
z(СК)= 12, x (АС)= 4 квадратный корень из 10, у(CB)= 12 квадратный корень из 10
•найдём периметр треугольника:
Р = АС + ВС + АВ = 40 + 4 квадратный корень из 10 + 12 квадратный корень из 10 = 40 + 16 квадратный корень из 10
Ответ: катеты равны: 4 квадратный корень из 10, 12 квадратный корень из 10. Р= 40 + 16 квадратный корень из 10
Приложения:


Takayama03Mizarati:
Откуда 12?
Вас заинтересует
2 года назад
2 года назад
2 года назад
8 лет назад
8 лет назад
9 лет назад
9 лет назад