• Предмет: Математика
  • Автор: vargakarina88
  • Вопрос задан 7 лет назад

ещё контрольная ПЛИС 70балов​

Приложения:

Ответы

Ответ дал: Человек999999
1

Ответ:

скрин

Пошаговое объяснение:

Приложения:
Ответ дал: maria52050
0

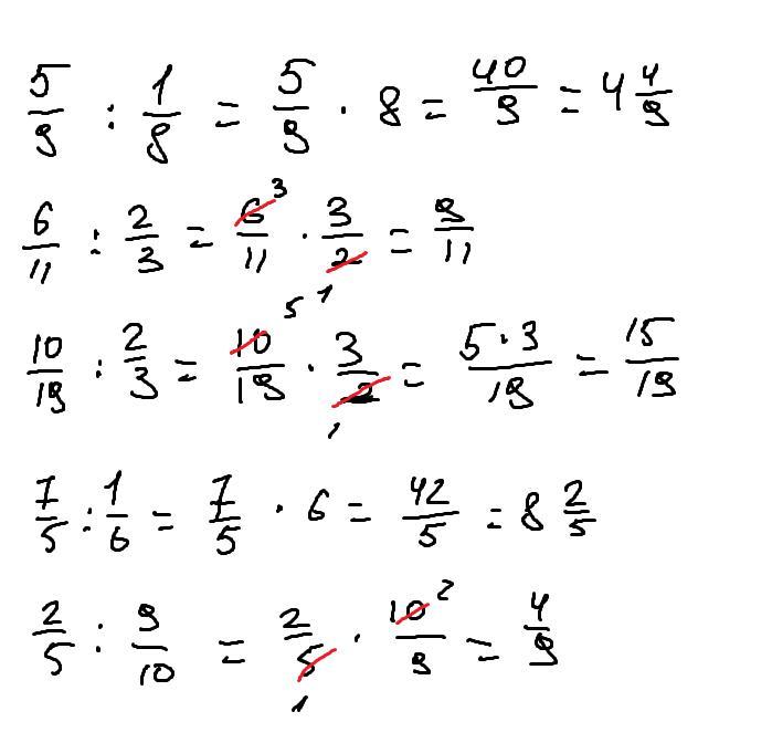
Пошаговое объяснение:

\frac{5}{9}  \div  \frac{1}{8}  =  \frac{5}{9}  \times  \frac{8}{1}  =  \frac{40}{9}  = 4 \frac{4}{9}

 \frac{6}{11}  \div  \frac{2}{3}  =  \frac{6}{11}  \times  \frac{3}{2}  =  \frac{18}{22}  =  \frac{9}{11}

 \frac{10}{19}  \div  \frac{2}{3}  =  \frac{10}{19}  \times  \frac{3}{2}  =  \frac{30}{38}  =  \frac{15}{19}

 \frac{7}{5}  \div  \frac{1}{6}  =  \frac{7}{5}  \times  \frac{6}{1}  =  \frac{42}{5}  = 8 \frac{2}{5} </p><p>\frac{2}{5}  \div  \frac{9}{10}  =  \frac{2}{5}  \times  \frac{10}{9}  =  \frac{4}{9}

Вас заинтересует