• Предмет: Алгебра
  • Автор: Nastya1998Trushkova
  • Вопрос задан 10 лет назад

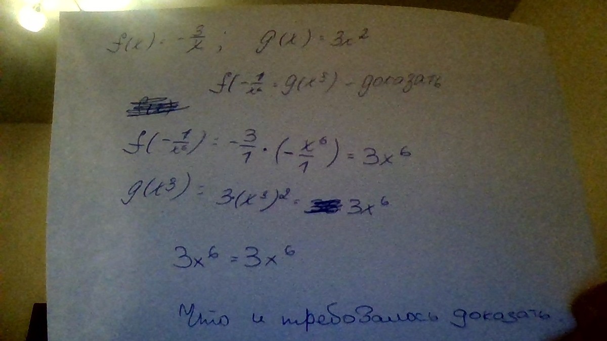
Известно, что f(x)=- frac{3}{x} ,  g(x)=3 x^{2} . Докажите, что при x neq 0   f(- frac{1}{ x^{6} } ) = g(  x^{3} )

Ответы

Ответ дал: utybe
0
Решение на фотографии.
Приложения:
Вас заинтересует