• Предмет: Математика
  • Автор: rainy42
  • Вопрос задан 7 лет назад

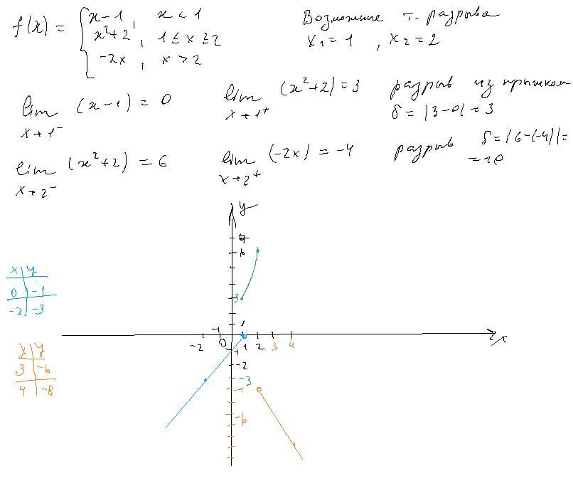
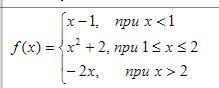
Исследуйте функцию на непрерывность и постройте ее график. Укажите точки разрыва и их род.

Приложения:

Ответы

Ответ дал: dashulka22222
1

Ответ:

Пошаговое объяснение:

Приложения:
Вас заинтересует