• Предмет: Математика
  • Автор: rainy42
  • Вопрос задан 7 лет назад

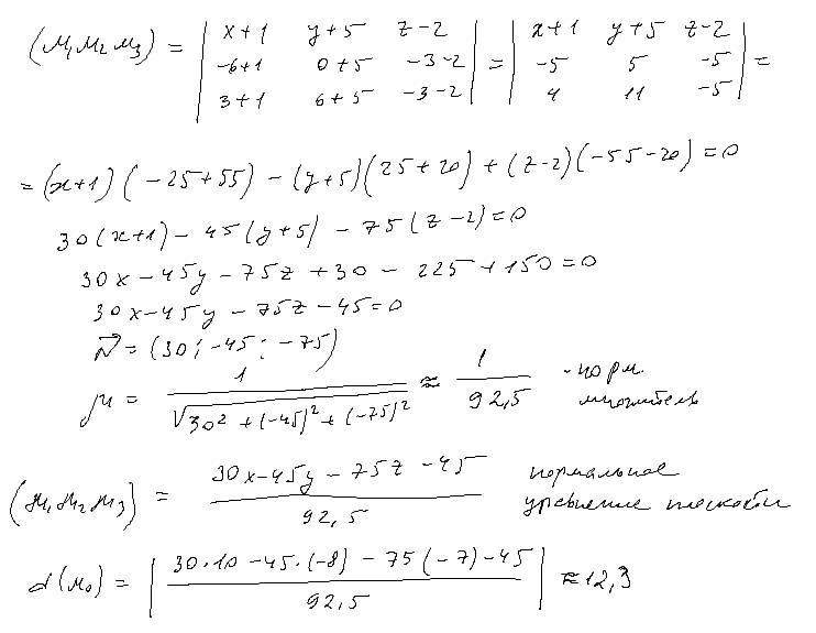
Найдите расстояние от точки М0 до плоскости, проходящей через три точки М1, М2, М3.

Приложения:

dashulka22222: условие где?
dashulka22222: Составить уравнение плоскости через определитель - смешанное произведение векторов (ММ1, М1М2, М1М3)=0. Написать нормальное уравнение плоскости. Найти расстояние, подставив точку М0 в нормальное уравнение плоскости
rainy42: исправил
rainy42: можете посмотреть другие задания, если не сложно будет, то я бы хотел знать решение

Ответы

Ответ дал: dashulka22222
1

Ответ:

Пошаговое объяснение:

Приложения:
Вас заинтересует