Упражнение 3 из 15
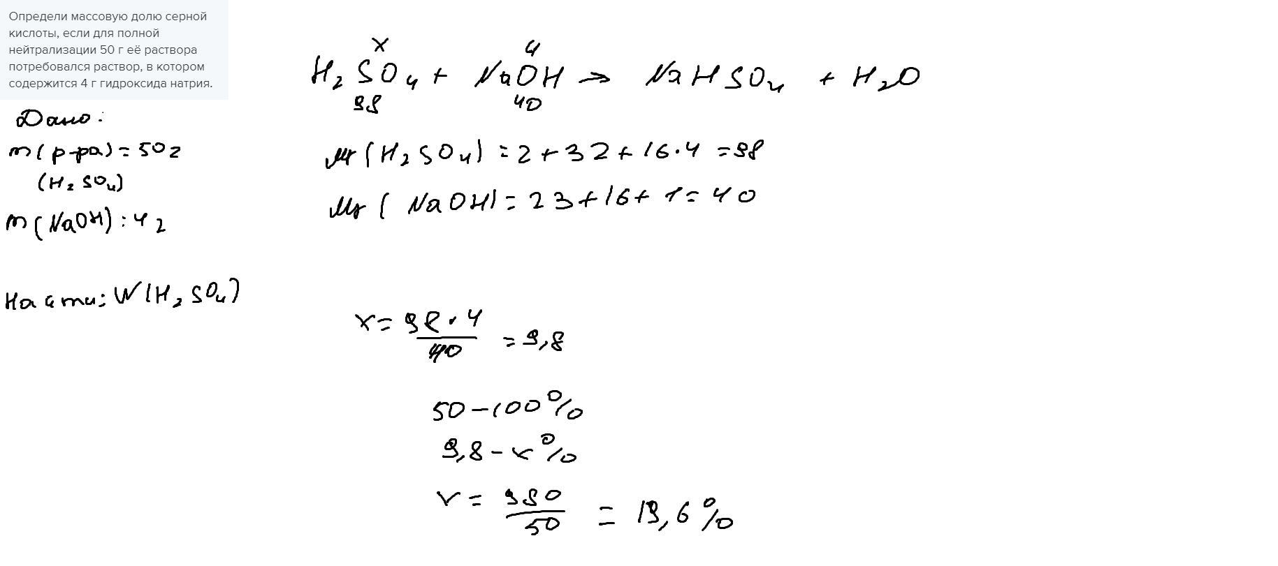
Определи массовую долю серной кислоты, если для полной нейтрализации 50 г её раствора потребовался раствор, в котором содержится 4 г гидроксида натрия.
Ответ укажи в процентах, округлив с точностью до десятых.
Пример: 1,1
Ответы
Ответ дал:
1
Ответ:
19,6%
Объяснение:
Приложения:

Вас заинтересует
2 года назад
2 года назад
2 года назад
8 лет назад
8 лет назад
9 лет назад