Ответы
Ответ дал:
0
Объяснение:
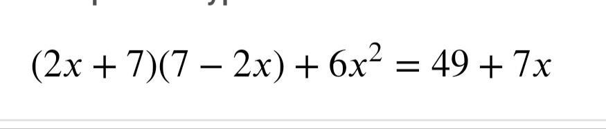
ответ смотрите на фотографии
Приложения:

Вас заинтересует
2 года назад
2 года назад
2 года назад
2 года назад
8 лет назад
8 лет назад