• Предмет: Алгебра
  • Автор: Lytvyn
  • Вопрос задан 11 лет назад

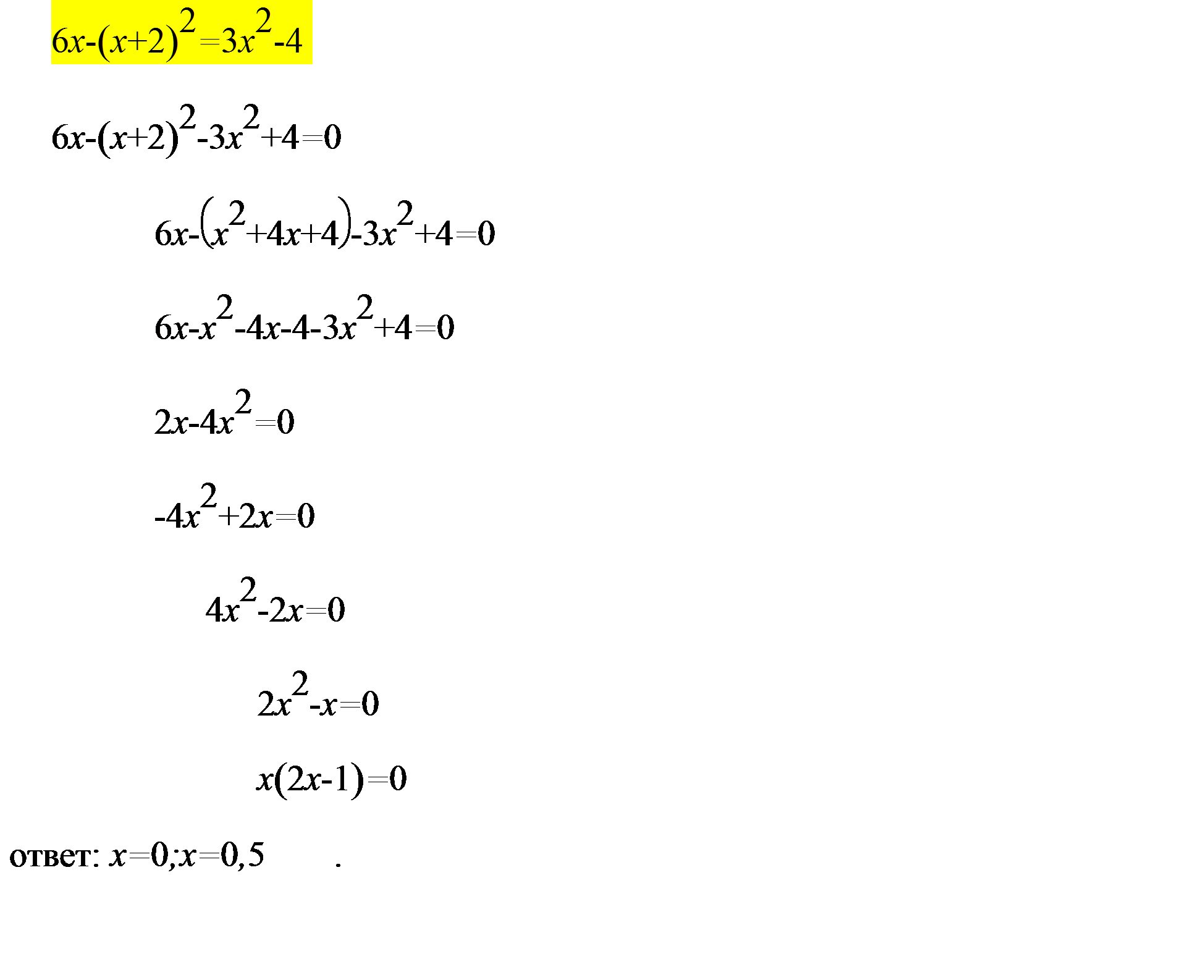
Розвязать квадратне рывняння:6x-(x+2)Квадрат=3xквадрат-4

Ответы

Ответ дал: geradosanova
0

6x-хквадрат-4х-2=3хквадр-4

4хквадрат-2х-2=0

Ответ дал: triolana
0

файл

==============================

Приложения:
Вас заинтересует