• Предмет: Алгебра
  • Автор: alisaandreevnab
  • Вопрос задан 7 лет назад

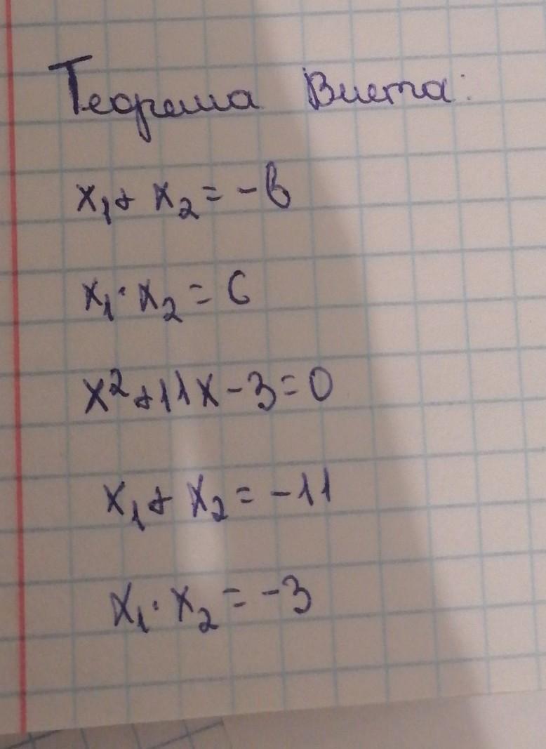
Помогите с алгеброй, пожалуйста! Даю 25 баллов!

Приложения:

Ответы

Ответ дал: Milisa36
0

Ответ:

это теорема Виета, насколько я поняла, в ней как раз и находятся сумма и произведение корней

Приложения:
Вас заинтересует