• Предмет: Математика
  • Автор: elinasabanova932
  • Вопрос задан 7 лет назад

помогите пожалуйста , заранее спасибо​

Приложения:

Ответы

Ответ дал: aisuluabdildaeva6
1

Ответ:

........................

Приложения:
Ответ дал: anastasiasinusko
1

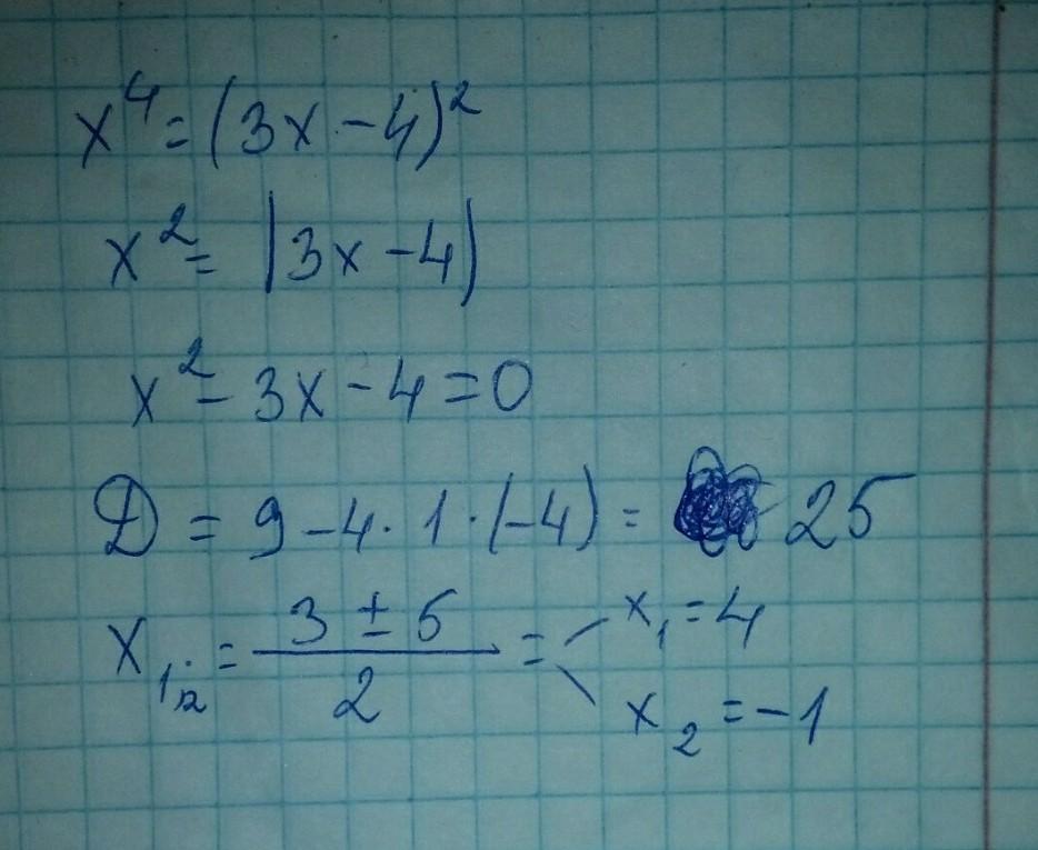
x⁴=(3x-4)²

x²-3x-4=0

Д=9-4•1•(-4)=25

короче он картинка

Приложения:
Вас заинтересует