• Предмет: Математика
  • Автор: Steve300808
  • Вопрос задан 7 лет назад

Решите пожалуйста
6 б)

Приложения:

Ответы

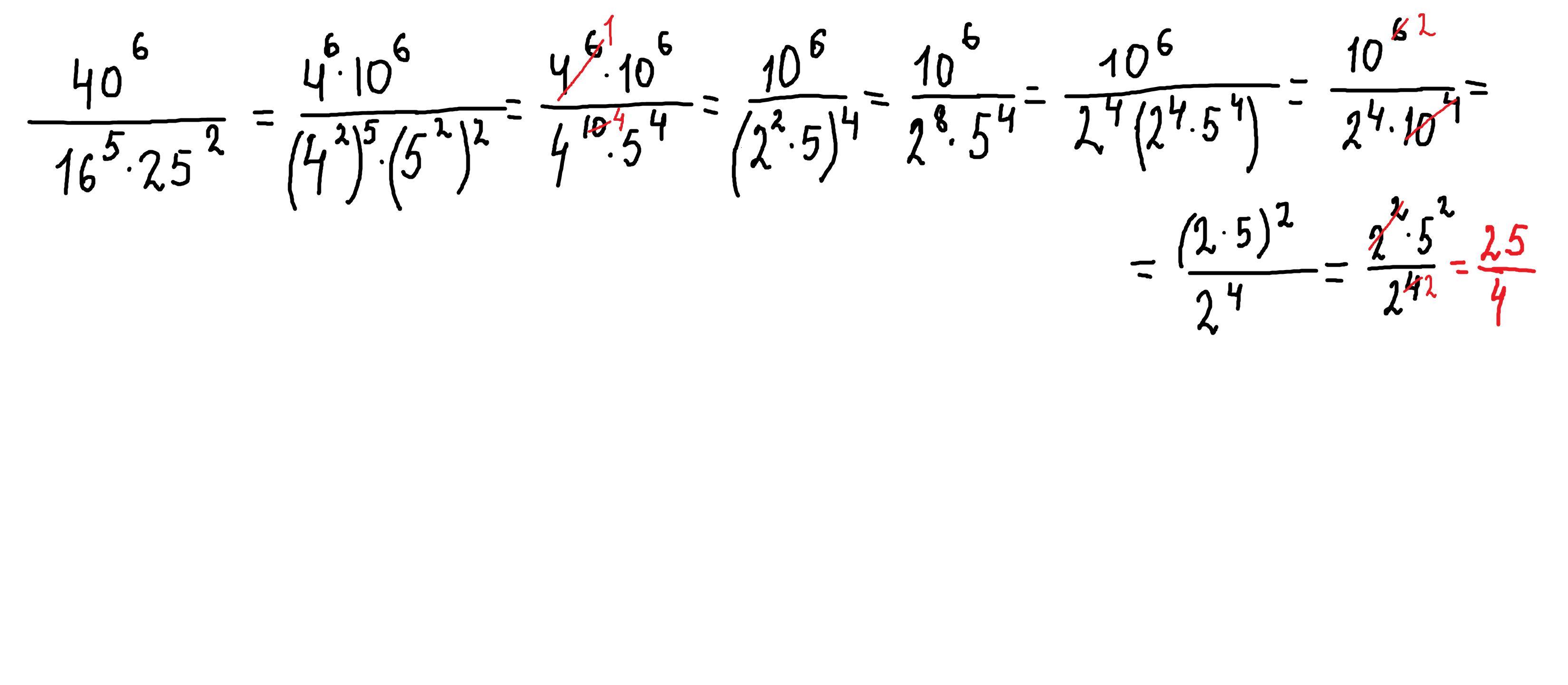
Ответ дал: parus77
0

Ответ:

25\4=6 1\4

Пошаговое объяснение:

решение внизу

Приложения:
Вас заинтересует