• Предмет: Математика
  • Автор: Robloxtw
  • Вопрос задан 7 лет назад

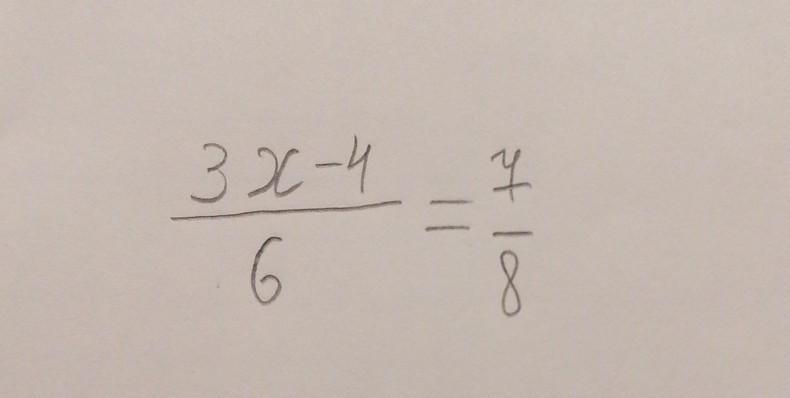
помогите решить уравнение, 6 класс

Приложения:

Ответы

Ответ дал: Drezzar
1

Решаем умножением крест на крест :

(3x-4)×8=7×6

24x-32=42

24x=74

1

x=3------

12

Ответ дал: aelemesoba
1

х=37

12

Пошаговое объяснение:

8(3х-4)=42

24х-32=42

24х=42+32

24х=74

как то такк

Вас заинтересует