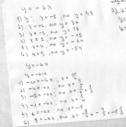
По формуле игрек ровно минус шесть иксовых найдите найдите соответствующие значения:1) у для х,равных:-8;-6;-3;2;4;9; 2)х для у равных -10;-4;-2;-1;6;8.
Ответы
Ответ дал:
0
Смотри.Расписал.Добавил вложение.
Приложения:

Вас заинтересует
2 года назад
2 года назад
8 лет назад
10 лет назад
10 лет назад
10 лет назад