• Предмет: Алгебра
  • Автор: Chewrolet
  • Вопрос задан 10 лет назад

Пожалуйста, помогите решить примеры
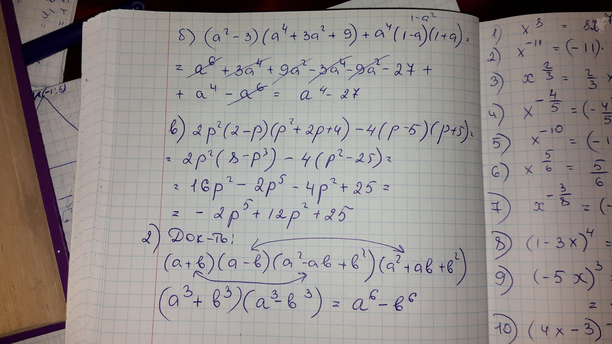
Упростите выражение:
б) (а²-3)(a⁴+3a²+9)+a⁴(1-a)(1+a)=
в) 2p²(2-p)(p²+2p+4)-4(p-5)(5+p)=
Докажите тожество:
а) (a+b)(a-b)(a²-ab+b²)(a²+ab+b²)=a⁶-b⁶
Решите пожалуйста, заранее спасибо

Ответы

Ответ дал: prostomama1
0
""""""""""""""""""""""""""""""""""""""""""""""""""""
Приложения:
Ответ дал: Chewrolet
0
Прошу прощения что опять беспокою вас, но не могли бы вы скинуть мне это фото еще раз. У меня открывается только половина фото, а другая часть нет. Заранее спасибо
Ответ дал: prostomama1
0
Незачто
Вас заинтересует