Ответы
Ответ дал:
0
решеееееееееееееееееееееение
Приложения:
Ответ дал:
0
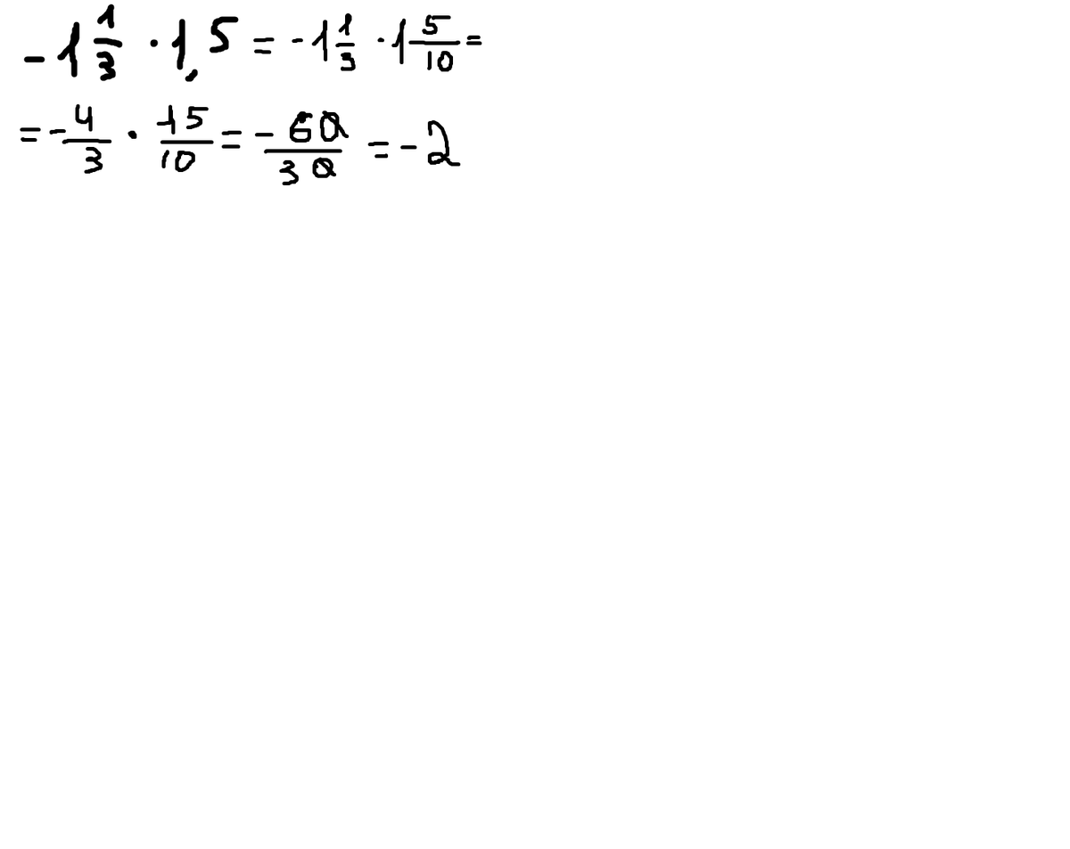
равно 2.
минус одну целую 1 треть переводишь в неправильную дробь , после этого 1,5 переводишь в дроби получается 4/3* 15/10, все это сокращаешь , И ПОЛУЧАЕШЬ 2
минус одну целую 1 треть переводишь в неправильную дробь , после этого 1,5 переводишь в дроби получается 4/3* 15/10, все это сокращаешь , И ПОЛУЧАЕШЬ 2
Приложения:
Вас заинтересует
3 года назад
3 года назад
8 лет назад
8 лет назад
11 лет назад
11 лет назад