• Предмет: Физика
  • Автор: anelaagdugaseva63
  • Вопрос задан 7 лет назад

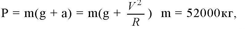
3. Трактор массой 52 т, имея скорость 18 м/с, въезжает на плоский мост. В результате мост прогибается и образует дугу радиусом 40 м. ​

Ответы

Ответ дал: toxic280
3

Ответ:

ответ вместе с решением

Приложения:
Вас заинтересует