• Предмет: Химия
  • Автор: dianaivanenko258
  • Вопрос задан 7 лет назад

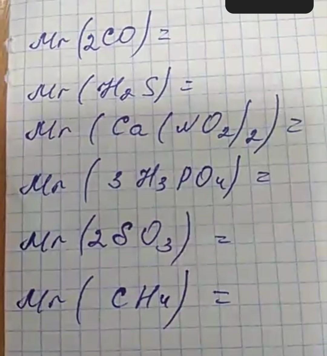
нада визначити молекулярну масу
допоможіть дуже срочно ​

Приложения:

Ответы

Ответ дал: chemistrykk
0

Ответ:

Mr(2CO) = 2 × 12 + 2 × 16 = 56

Mr(H2S) = 2 × 1 + 1 × 32 = 34

Mr(Ca(NO2)2) = 1 × 40 + 2 × 14 + 4 × 16 = 132

Mr(3H3PO4) = 9 × 1 + 3 × 31 + 12 × 16 = 294

Mr(2SO3) = 2 × 32 + 6 × 16 = 160

Mr(CH4) = 1 × 12 + 4 × 1 = 16

Вас заинтересует