• Предмет: Алгебра
  • Автор: neznaua685
  • Вопрос задан 7 лет назад

Помогите Пожалуйста!!

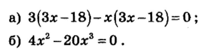
Приложения:

Ответы

Ответ дал: parus77
0

Ответ:

а)х=3 или х=6 б)х=0 или х=1\5

Объяснение:произведение равно 0,когда один из множителей равен 0

вынесем общий множитель за скобки и приравняем к 0 каждую скобку

а)

3(3х-18)-х(3х-18)=0

(3х-18)(3-х)=0

3х-18=0 или 3-х=0

3х=18 или х=3

х=6

б) 4х² -20х³=0

4х²(1- 5х)=0

2х²=0 или 1 -5 х=0

х=0 или 5х= 1

х= 1\5

Вас заинтересует