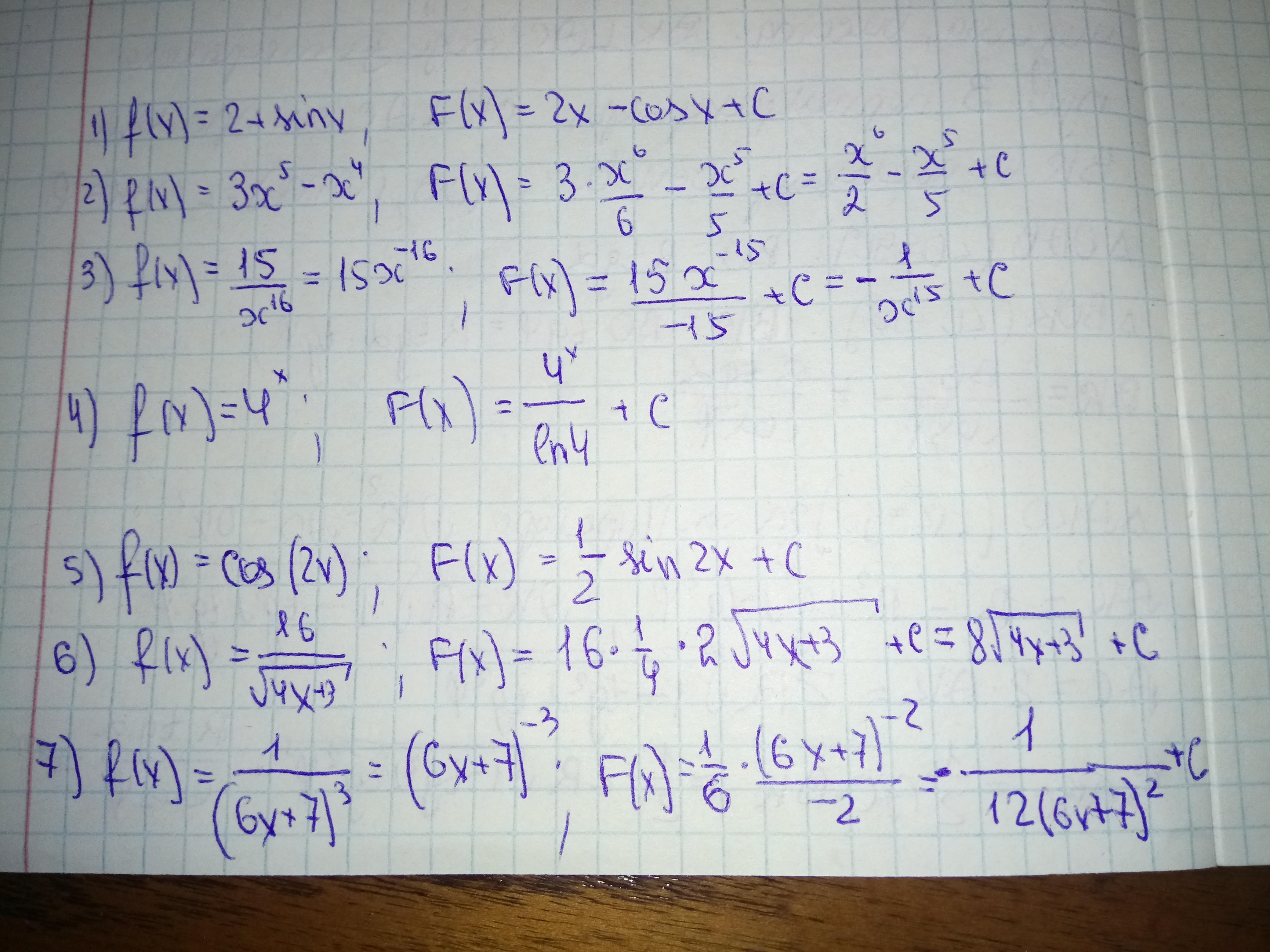
Знайдіть загальний вигляд первісних для функцій
1) f(x) = 2 + sin x
2) f(x) = 3x5 - x4
3) f(x) = 15/x16
4) f(x) =4^x
5) f(x) = cos (2x)
6) f(x) = 16/ корінь квадратний 4х + 3
7) f(x) = 1/ (6x+7)3
Дуже потрібно
Ответы
Ответ дал:
1
Відповідь: фото
Пояснення:
Приложения:
irinapetrus:
Дуже дякую. Можеш допомогти розв'язати ще 2 завдання? Мені дуже потрібно.
Вас заинтересует
2 года назад
2 года назад
3 года назад
3 года назад
9 лет назад
9 лет назад
10 лет назад